A Markov chain is a memory-less random process. The process is memory-less in the sense that all states have the Markov property.
Mathematically, a Markov chain can be represented by a tuple where:
- is the state space
- is the transition probability function (likelihood of state transition given a current state)
We can denote the probability of a state transition as — the transition probability is the chance the the next state is given the current state at time is .
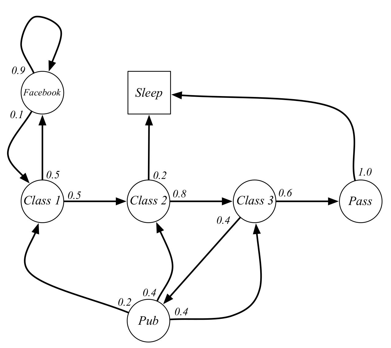
We can represent the transition probability function as a matrix. The row number is the source state, and the column number is the destination state. A row represents how likely a state can transition to some other state ; thus, the probabilities in a single row should sum to one. A sink in the Markov chain has , meaning that the state can only transition to itself and not any other state.

For instance, a college student’s Markov Chain would look like this:

The same Markov chain but with state transition represented as a matrix:
